Akta Pampasan Pekerja 1952 Pdf
Akta Pampasan Pekerja 1952 Book 2002 Zncg Saizhpanc Site
Akta Keselamatan Sosial Pekerja Ppt Download
1 Fem 3106 Topic 8 Policies Legislations For Workers Dr Muslihah Hasbullah Ppt Download
Akta Pampasan Pekerja 1952 Akta 273 Hingga 15hb September 2002 Book 2002 Worldcat Org
Workmen S Compensation Act 1952 News Workmen S Compensation Act 1952
Workmen Compensation Act 1952 Workers Compensation Stepfamily
Foreign Workers Compensation Scheme Zurich
Blog Archives Baldcirclehero
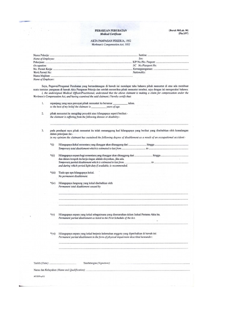
Lab90
Http Jtksm Mohr Gov My Images Personalisation Warga Jtksm Pekeliling Bpu 1996 Surat Pekeliling Bil 7 Tahun 1996 Pdf
Holdings Workmen S Compensation Act 1952 Act 273 Regulations And Orders
Akta Pampasan Pekerja 1952 Akta 273 Hingga 20hb Julai 2018 Shopee Malaysia
Workmen S Compensation Act 1952 To Be Abolished Says Minister The Malaysian Insight M Kula Segaran
2
List Of Malaysian Law Acts Senarai Akta Akta Malaysia